问题:甲乙两人轮流投硬币,先投出正面的赢。如果甲先扔硬币,那么甲获胜的概率是多少?
解析:
首先,谁先扔出正面谁赢,和“抽签问题”中的谁先抽出谁赢,是有本质区别的。
咱们先看抽签问题。在抽签问题中,比如:假设黑箱中有 2 个大小一样的球,其中一个是红球,一个是白球,甲乙两人依次摸,摸到不放回,摸到红的赢。
若甲先,则甲赢的概率为:1/2;
若乙先,乙赢的概率为 1/2 x 1=1/2,即第一次甲以 1/2 的概率摸到了白色球,然后第二次乙肯定是以 1 的概率摸到红色球。
所以对于抽签问题抽到不放回的,谁先谁后,几率一样。
但此题不同,不妨把甲乙每都仍一次看作一轮
第一轮:
甲赢:1/2
乙赢:1/2 x 1/2=1/4
第二轮:
甲赢:1/2 x 1/2 x 1/2=1/8
乙赢:1/2 x 1/2 x 1/2 x 1/2=1/16
第三轮:
甲赢:1/16 x 1/2=1/32
乙赢:1/32 x 1/2=1/64
其实我们不妨这样看:先只管甲赢,首先甲抛到正是二分之一胜了
, 然后甲抛反面乙也反甲再正就是八分之一,再次甲反乙反甲再反乙再反甲正是三十二分之一.
所以设甲先扔在第 n 轮胜的概率为 Pn,则 Pn 是个无限等比数列,首项是二分之一,公比是四分之一 。
所以,甲赢的概率为此等比数列的所有项的和 Sn,
即 Sn = 1/2+1/8+1/32+1/128+... ,求极限为 2/3。
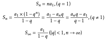
怎么求极限的,看一下等比数列求和公式:

其中 q = 1/4 < 1,所以要用到上图中第三个公式,很容易求得是 2/3。
所以甲先扔的话赢的概率是 2/3,乙后扔赢的概率是 1/3。

欢迎来到这里!
我们正在构建一个小众社区,大家在这里相互信任,以平等 • 自由 • 奔放的价值观进行分享交流。最终,希望大家能够找到与自己志同道合的伙伴,共同成长。
注册 关于