1.从 katex 的官网 Supported Functions · KaTeX 的语法支持表来看:katex 可以对公式进行自动编号:


2.在思源中却实现不了,不知道什么原因:

3.在 typora 中想有给公式自动编号的功能:见:Math and Academic Functions (typora.io),甚至它想可以通过 $\eqref{...}$ 这样的命令来实现公式引用。


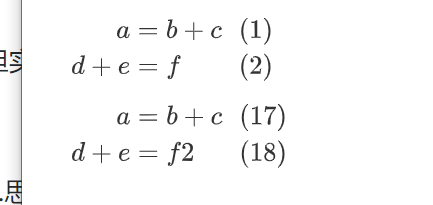
但实际上我试用了 typora 的自动公式编号功能,其实是混乱的,并不好用:

4.思源要想实现理工科大文档的编写,我们写的文档都有很多很多数学公式,觉得用\tag{1.1}这样手动一个一个加编号实在太累,而且如果中间插入或删除一个公式,后面的都要动,确实很麻烦。我相信很多理工科同学应该会有同感。
实际上我们强烈需要这个功能,你们看那些理工科的书籍、文档,所有的公式都是有编号的,我们写学习、科研笔记也是需要给公式编号的,不然文中说明起来指哪个公式就很麻烦。
当然 latex 可以实现自动编号公式的功能,但我觉得思源笔记比 latex 方便太多,所以希望思源能不能有方法实现这个功能呢?或者就像你们的“中西文中间自动插入空格”来实现自动加入编号?,公式引用这个功能没有也没关系,重要的是自动编号这个便捷的功能


欢迎来到这里!
我们正在构建一个小众社区,大家在这里相互信任,以平等 • 自由 • 奔放的价值观进行分享交流。最终,希望大家能够找到与自己志同道合的伙伴,共同成长。
注册 关于