-
创建 JedisPool 时,设置的 [timeout] 参数起什么作用?
2017-09-18 15:31Jedis jedis = jedisPool.getResource();
jedis.get(key);
你是指 jedis 在 get 时,连接 redis 的超时时间嘛? -
创建 JedisPool 时,设置的 [timeout] 参数起什么作用?
2017-09-18 15:11/** * The default maximum amount of time (in millis) the * {@link #borrowObject} method should block before throwing * an exception when the pool is exhausted and the * {@link #getWhenExhaustedAction "when exhausted" action} is * {@link #WHEN_EXHAUSTED_BLOCK}. * @see #getMaxWait * @see #setMaxWait */ public static final long DEFAULT_MAX_WAIT = -1L;这个应该是当池中连接分配完之后,如果设置了阻塞策略,将阻塞的时间。
-
创建 JedisPool 时,设置的 [timeout] 参数起什么作用?
2017-09-18 15:05从池拿单个连接的超时时间吗?
jedisPoolConfig.setMaxWaitMillis()
我一直理解这个函数设置的值是获取连接时间
那这个函数是什么作用呢? -
IDEA Java 2017 常用快捷键
2017-08-24 15:57你用 SVN 还是 GIT 呀?
在 eclipse 里面 SVN 有个与资源库同步的功能,但是在 IDEA 里面我没有发现,每次更新都是整体更新 -
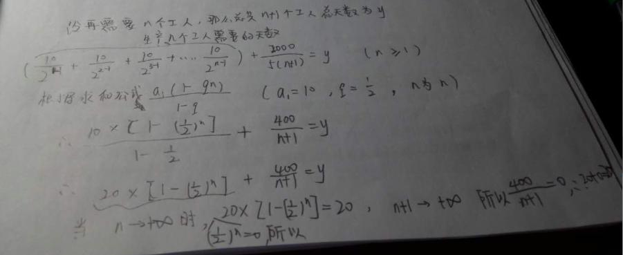
【益智题】一道关于农民产粮食的题目
2016-05-24 10:13@Hassan 可以认为是瞬时的。其实你这种就是包含了原子性考虑的。这里的原子性考虑是指产粮一天一结算。不可以 X.X 天就可以兑换了,比如,如果不考虑原子性,兑换第三个(所有农民数量中的第四个)就只需要 10/3 天,考虑原子性的话,这里就应该是四天。


