总结
如下层级安排的排版如果不使用原问题中不是很优雅的方法的话我目前还是做不到,第三级中有有序列表,和普通段落及公式

打脸了,又发现新方法了,如果我想在内容 2.2 后添加一个和二级有序列表同级的段落块的话

如下图所示

只需在"内容 2.2"后按两次回车

再按一次 backspace 就好了

原问题
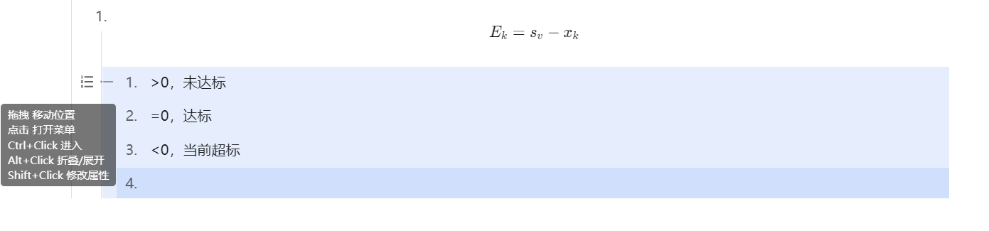
比如这样一个有序列表及子列表,一级 1 有 4 个子列表,写完 3 后,我想添加一个普通的文本或者无序列表作为总结,但是发现做不到,以前好像有转换的功能的。可以转换后不和上面的子有序列表作为一个块。

目前好像就试出来一个方法,先弄出来子列表 4,然后在 3 的末尾双击回车

再删除新出来的 1

但是感觉这种方法不是很优雅,目前的转换功能在本层级列表的第一项(比如说无序列表的第一个,有序列表的 1)左侧对整个列表的类型进行修改

欢迎来到这里!
我们正在构建一个小众社区,大家在这里相互信任,以平等 • 自由 • 奔放的价值观进行分享交流。最终,希望大家能够找到与自己志同道合的伙伴,共同成长。
注册 关于