
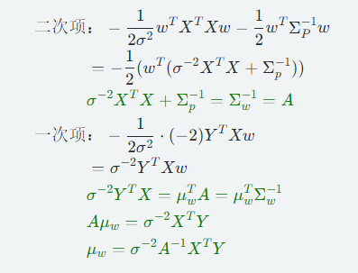
\begin{align*}
二次项&:-\frac{1}{2\sigma^2}w^TX^TXw-\frac{1}{2}w^T\Sigma_P^{-1}w \\
&=-\frac{1}{2}(w^T(\sigma^{-2}X^TX+\Sigma_p^{-1})) \\
&{\color{green}\sigma^{-2}X^TX+\Sigma_p^{-1}=\Sigma_w^{-1}=A} \\
一次项&:-\frac{1}{2\sigma^2}\cdot (-2)Y^TXw \\
&=\sigma^{-2}Y^TXw \\
&{\color{green}\sigma^{-2}Y^TX=\mu_w^TA=\mu_w^T\Sigma_w^{-1}}\\
&{\color{green}A\mu_w=\sigma^{-2}X^TY}\\
&{\color{green}\mu_w=\sigma^{-2}A^{-1}X^TY}
\end{align*}
在这张图片中,我用\color{green}来修改公式颜色,但在这种情况下(通过\begin{aligned*}的&对齐),我想要绿色公式的等号对齐,并与上方黑色公式对齐时,发生冲突

欢迎来到这里!
我们正在构建一个小众社区,大家在这里相互信任,以平等 • 自由 • 奔放的价值观进行分享交流。最终,希望大家能够找到与自己志同道合的伙伴,共同成长。
注册 关于