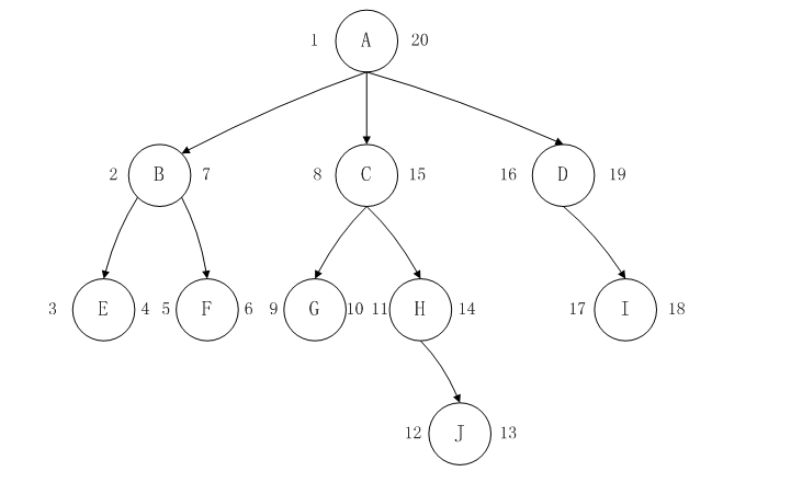
我有很多棵这样的树存储在数据库里
CREATE TABLE
tree(
idint(11) NOT NULL AUTO_INCREMENT,
namevarchar(20) NOT NULL,
lftint(11) NOT NULL,
rgtint(11) NOT NULL,
PRIMARY KEY (id)
) ENGINE=InnoDB DEFAULT CHARSET=utf8;
1、如何根据根结点查询出整棵树?
2、如何用 SQL 算出某一树结点的深度?
3、如何根据某一结点查询出从根结点到这棵树路径 + 深度?
4、如何查询出结点的所有直接子结点 + 深度?



欢迎来到这里!
我们正在构建一个小众社区,大家在这里相互信任,以平等 • 自由 • 奔放的价值观进行分享交流。最终,希望大家能够找到与自己志同道合的伙伴,共同成长。
注册 关于