问题:乒乓球赛的 7 局 4 胜制为什么合理?一场比赛中甲和乙对决,每局甲胜的概率为 0.6,乙胜的概率为 0.4,请问是 5 局 3 胜甲赢的概率大,还是 7 局 4 胜甲赢的概率大?
分析:
大家有没有思考过,为什么乒乓球比赛采取的是 7 局 4 胜制?这种 2n-1 局 n 胜的赛制又为什么合理呢?
因为在每一局比赛中,两个选手的水平往往是不同的,所以制定的赛制规则应该满足以下要求: 对于水平相同的选手,要使他们最后胜出的概率是相同的; 对于水平比较高的选手,要使水平高的选手胜出的概率比较大(即该赛制可以选出强者);
以 7 局 4 胜为例,首先,我们要明确的是在比赛中,7 局 4 胜并不是要打满 7 局才结束,而是谁先胜了 4 局谁就赢了。 所以呢,我们不能把 7 局 4 胜制的每局比赛当作 7 次独立重复实验。
假设甲和乙比赛,甲和乙在每一局比赛中获胜的概率分别为 p 和 q,比赛采取 2n-1 局 n 胜制,那咱们来看看怎么计算甲和乙的胜率吧。
当 n=2 时,也就是 3 局 2 胜制时:
P(甲胜的概率)= P(甲连胜 2 局) + P(甲第 3 局胜,前 2 局负 1 局)
当 n=3 时,也就是 5 局 3 胜制时:
P(甲胜的概率)= P(甲连胜 3 局) + P(甲第 4 局胜,前 3 局负 1 局) + P(甲第 5 局胜,前 4 局负 2 局)
所以在 2n-1 局 n 胜制时:
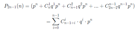
P(甲胜的概率)= P(甲连胜 n 局) + P(甲第 n+1 局胜,前 n 局负 1 局) + P(甲第 n+2 局胜,前 n+1 局负 2 局) + ... + P(甲第 2n-1 局胜,前 2n-2 局负 2n-1 局)
用公式来表示一下 2n-1 局 n 胜制时甲和乙的胜率
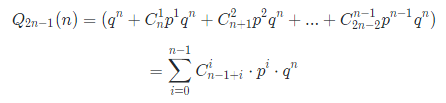
其中 P 表示甲的胜率:

Q 表示乙的胜率:

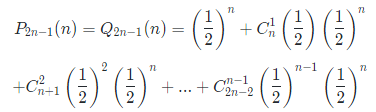
1. 当甲和乙的实力相当时,也就是说俩人每局比赛的胜利概率都为 0.5 时
3 局 2 胜赛制甲的胜率:

5 局 3 胜时甲的胜率:

2n-1 局 n 胜时:

又因为“甲胜出”和“乙胜出”是对立事件,所以

所以就能求得:

也就是说,如果甲和乙的实力相当时,不论是 3 局 2 胜还是 5 局 3 胜还是 2n-1 局 n 胜,他们俩最终胜利的概率都是相等的。
2、甲和乙实力不想当时 假设甲赢的概率 p 大于乙赢的概率 q, 下面我们来看看甲和乙的胜利概率各为多少
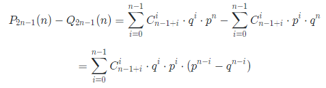
上面已经列出来了在 2n-1 局 n 胜时计算甲和乙胜率的通用公式,用甲的胜率减去乙的胜率:

上面得到的这个公式,因为甲胜的概率 p 是大于乙胜利的概率 q 的,所以很明显:

所以说最终上面甲的胜率减去乙的胜率的结果是大于 0 的,也就可以得到:

即

通过上面的验证,当甲实力比乙强时,采用 2n-1 局 n 胜制,甲胜出的概率比乙胜出的概率要大,所以对于强者来说,2n-1 局 n 胜制更能选出强者。
综上所述:
对于类似于乒乓球赛这样的比赛
- 当两人实力相当时,2n-1 局 n 胜制能保证两人最终胜利的概率是相等的;
- 当两人实力有差别时,2n-1 局 n 胜制能保证强者胜率更高,也就能通过比赛筛选出强者。
那么,还有一个问题,是不是 n 越大,则强者胜出的概率越大呢?
也就是说 7 局 4 胜制和 5 局 3 胜制哪个更利于强者。
这个证明的公式我不知道该怎么推(有知道证明方法的希望可以多交流哈),所以就写个程序,用上面的公式来计算一下,下面表中分别计算了当一个人胜率为 0.4、0.5、0.6 时,2n-1 局 n 胜制时他的胜率:
| P |n=2 |n=3 |n=4 |n=5 |n=6 |n=7 |n=8|
| --- | --- | --- | --- | ---|--- |--- |
| p=0.4 |0.352 |0.3174 |0.2898 |0.2666 |0.2465 |0.2288 |0.2131|
| p=0.5 |0.5 |0.5 |0.5 |0.5 |0.5 |0.5 |0.5|
| p=0.6 |0.648 |0.6826 |0.7102 |0.7334|0.7535 |0.7712 |0.7869 |
由上表计算的结果可以看出,对于一个胜率较高的人来说,采用 2n-1 局 n 胜时,n 越大他的最终胜率越高。
所以,对于咱们的问题,甲胜率为 0.6,乙胜率为 0.4 时,甲获胜的概率 7 局 4 胜制比 5 局 3 胜制要高。
为啥乒乓球赛使用7局4胜制,下面就是最通俗的解释了:
团体赛时是5局3胜制,这是为了减少整场比赛的时间;
而在单打赛时则为7局4胜制,这是为了增加强者获胜的机会;
欢迎来到这里!
我们正在构建一个小众社区,大家在这里相互信任,以平等 • 自由 • 奔放的价值观进行分享交流。最终,希望大家能够找到与自己志同道合的伙伴,共同成长。
注册 关于